Work photo 6.PNG

Onder Erin, Ph.D.

MRI-powered Magnetic Robotics

Problem Definition:

Magnetic robotics can enable ultra-minimally invasive surgeries by moving small magnetic devices inside the body—without any incisions or physical connections. However, two major challenges slow down adoption:

  1. Tracking the robot – Since the surgeon can’t directly see inside the body, we need an imaging system to track the robot’s position in real time.

  2. Hardware complexity – Most magnetic actuation systems require large, custom-built electromagnetic coil setups, which take up space and make them less practical for use in operating rooms.

Hypothesis:

MRI machines are already widely available in hospitals and can:

  1. Capture 3D images inside the body in real time.

  2. Produce strong, controllable magnetic fields.

If we could use a single MRI machine for both imaging and actuation, we could track and move magnetic robots inside the body without introducing bulky new equipment.

Solution:

I converted a commercial MRI scanner into an autonomous robotic manipulation platform that:

  • Provides real-time image feedback for closed-loop control.

  • Receives intuitive user commands from a Custom-GUI.

  • Generates actuation forces to move magnetic objects inside the body.

  • Autonomously controls the motion of a magnetic rigid body object at high precision.

This system allows real-time, precise control of position and orientation for magnetic devices—enabling navigation through the body in an ultra-minimally invasive way.

I also built a teleoperation mode so surgeons can monitor live MRI scans and guide the robot using a standard handheld controller.

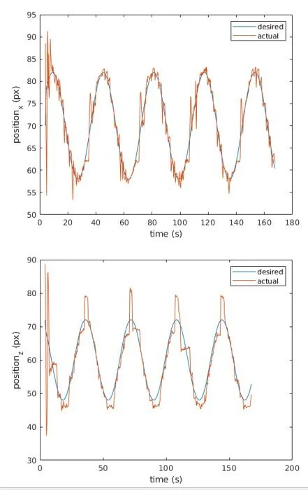
MRI-powered Robot: Autonomous Trajectory Following with Image Feedback

Autonomous Circular Trajectory Tracking via 1D MS-SET Scans as Feedback

Tele-operated Wireless Capsule Endoscopy Robot Powered by an MRI Device

Closed-loop Feedback Control Demonstrations

Autonomous Position and Orientation Control

MRI Device for Dual Usage: Simultaneous Monitoring and Actuation of a Magnetic Robot via an MRI Device

MRI-powered Teleoperatively Controlled Magnetic Robot for Hyperthermia

My Mission

Making a difference in people’s life by developing the next generation robotic systems.